二叉树
树的结点(node):包含一个数据元素及若干指向子树的分支;
孩子结点(child
node):结点的子树的根称为该结点的孩子;
双亲结点:B
结点是A 结点的孩子,则A结点是B 结点的双亲;
兄弟结点:同一双亲的孩子结点;
堂兄结点:同一层上结点;
祖先结点:
从根到该结点的所经分支上的所有结点
子孙结点:以某结点为根的子树中任一结点都称为该结点的子孙
结点层:根结点的层定义为1;根的孩子为第二层结点,依此类推;
树的深度:树中最大的结点层
结点的度:结点子树的个数
树的度:
树中最大的结点度。
叶子结点:也叫终端结点,是度为 0
的结点;
分枝结点:度不为0的结点;
有序树:子树有序的树,如:家族树;
无序树:不考虑子树的顺序;
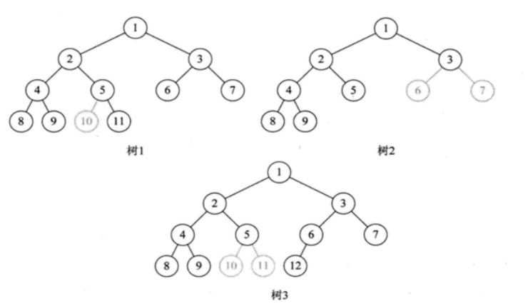
满二叉树

- 叶子只能出现在最下一层。
- 非叶子结点度一定是2.
- 在同样深度的二叉树中,满二叉树的结点个数最多,叶子树最多。
完全二叉树

- 叶子结点只能出现在最下一层(满二叉树继承而来)
- 最下层叶子结点一定集中在左 部连续位置。
- 倒数第二层,如有叶子节点,一定出现在右部连续位置。
- 同样结点树的二叉树,完全二叉树的深度最小(满二叉树也是对的)。
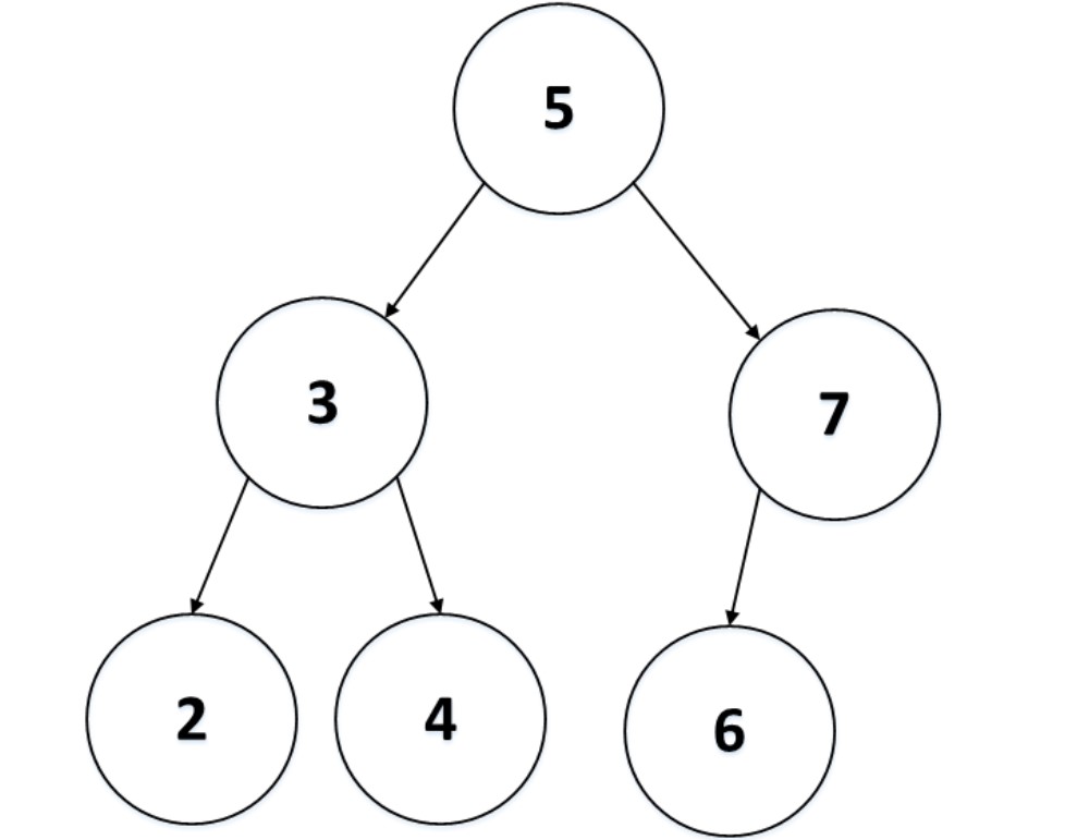
BST
二叉查找树 ,树上每个结点都满足:
其左子树上所有结点数据均小于根结点;
右子树所有结点数据域均大于根结点数据域。

ALV
平衡二叉树,在二叉平衡查找树基础上增加了 “平衡”
左子树和右子树的高度绝对差不超过 1

右旋操作

左旋操作


LR型

RL型

遍历
前序遍历

先访问根结点,再先序遍历左子树,最后再先序遍历右子树即根—左—右
后序遍历

先后序遍历左子树,然后再后序遍历右子树,最后再访问根结点即左—右—根
中序遍历

B
D C A E H G K F
还原二叉树知道前序(第一个)或后序(最后一个) 确定根节点,必须知道中序才能确定左子树或右子树